活塞式壓力計作為檢測壓力參數的主要標準器,其自身的準確度會受到使用的環境或頻繁程度等影響,為了盡量減小這種影響,我們需要對活塞式壓力計進行常規的針對性檢查校對。而活塞式壓力計的誤差主要來源有兩個——活塞有效面積A和專用砝碼質量m。由于重力加速度會根據緯度、海拔的變化而變化,因此,在不同地區使用活塞式壓力計要注意對砝碼的質量按使用地點的重力加速度進行實測。

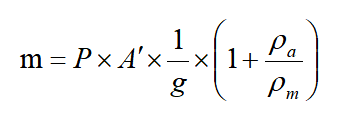
活塞專用砝碼質量是根據已經測得的活塞面積,計算壓力對應的砝碼質量。其計算公式為:

式中:m——專用砝碼質量,kg;P——被測量壓力值,Pa;A′——被檢活塞的有效面積,㎡;ρa——周圍空氣密度,kg/m3;ρm——專用砝碼、活塞及其連桿材料密度,kg/m3;g——活塞式壓力計使用地點的重力加速度,m/s2。

一、烏魯木齊地區的平均重力加速度和新疆維吾爾自治區計量測試研究院測量地點的重力加速度理論標準值概況
1.烏魯木齊地區的平均重力加速度:9.8015m/s2(JJG 59—2007《活塞式壓力計檢定規程》)。
2.該計量室的重力加速度理論標準值
該壓力檢定室的緯度是43.989°,海拔高度是730m。通過重力加速度計算公式,得:
式中:R——地球半徑,等于6371×103m;h——測量地點的海拔高度;Φ——測量地點的緯度。
計算得,該計量院的重力加速度g=9.8035m/s2。
二、兩個重力加速度對專用砝碼質量的影響
經過計算,該計量院的重力加速度g=9.8035m/s2,而JJG59—2007中烏魯木齊的重力加速度為9.8015m/s2,重力加速度誤差將引起活塞砝碼質量誤差達到0.02%,而JJG59—2007中最低級別的0.05級活塞砝碼質量的最大允許誤差僅為±0.02%,0.02級和0.005級活塞的砝碼質量要求更高。所以,JJG 59—2007中給定的重力加速度不能滿足高準確度的需求。
2008年初,新疆維吾爾自治區計量測試研究院建立了0.005級活塞式壓力計標準裝置。在建標過程中發現,JJG 59—2007中的重力加速度不能滿足需要,需要至少能準確到小數點后5位的重力加速度數值。而通過緯度和海拔計算得到的重力加速度與JJG 59—2007中給定的重力加速度相差較大,在沒有可靠計量手段的情況下,不能確定哪個更為準確。

經過查詢資料了解到,自治區地震局有重力加速度測量觀測站,并且進行了長期的測量,有十分準確的重力加速度數值。在與自治區地震局聯系后獲得了重力加速度的相對數值。經過與自治區地震局技術人員合作,將相對重力加速度轉化為準確的絕對重力加速度值。其值為(9.80097±0.00001)m/s2,這個值的誤差引起的砝碼質量誤差僅為0.0001%,完全能夠滿足實際需要。
通過數據比較發現,該地重力加速度理論標準值為9.8035m/s2,而JJG 59—2007中烏魯木齊的重力加速度為9.8015m/s2,但實際觀測所得到的數據為9.80097m/s2。可見,通過海拔和緯度計算得到的重力加速度值誤差較大,無法滿足JJG 59—2007的要求。
建議及總結
一、建標時對重力加速度進行實地測量
在進行活塞式壓力計建標時,使用0.005級和0.01級壓力計的單位應使用該地點的重力加速度實測值(JJG 59—2022),并備案在裝置的檔案中。這樣能夠很好地提高活塞式壓力計的使用準確度,提高量傳的準確性。
二、配備測量重力加速度的裝置
由于重力加速度在生產科研中的重要作用,每個省級(自治區級)計量院應當有一套測量重力加速度的裝置對各地重力加速度值進行測量,以滿足各個行業對重力加速度值的使用需求。


(全球絕對重力儀國際比對)
對于我們的日常生活以及工業生產環境來說,壓力都是一個非常重要的檢測數據和參數,獲取準確的壓力數據對于日常生產生活來說其重要意義不言而喻。我們在使用高準確度等級活塞式壓力計的時候,應對具體地點的重力加速度進行實地測量,并且把相關測得數據應用到活塞式壓力計的計量校準工作當中,這樣就可以最大限度提高檢測數據的準確度,提升實驗室的計量校準能力水平。
(本文摘自網絡,如有侵權,請聯系小編刪貼)



客服